Chain rule for Entropy
We know that the naturalness of the definition of joint entropy and conditional entropy is exhibited by the fact that entropy of a pair of random variables is the entropy of one plus the conditional entropy of the other. i.e
| H (X, Y ) = H (X) + H (Y|X) | ![]() |
Alternatively we can write H (X1, X2 ) = H (X1) + H (X2|X1) . This can be extend for X1, X2, X3 as
H (X1, X2, X3) = H (X1) + H (X2|X1) + H (X3|X1, X2)
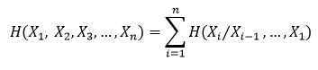
Similarly for X1, X2, X3 …. Xn joint entropy is

Subaditivity rule
This rule says that conditioning entropy can only reduce the entropy. However conditioning on a specific realization of B does not necessarily reduce entropy
i.e. H(A|B) = H(AB) − H(B) ≤ H(A) + H(B) − H(B) ≤ H(A)
or H(A|B) = ≤ H(A)
Statlearner
Statlearner